• Normal Font
  • Large Font
  • Larger Font
  • Normal Colour
  • Black & Yellow Colour
Skip to content
Accessibility
  • Text Size:
  • Normal
  • Large
  • Larger
  • Screen Colours:
  • Normal
  • Black & Yellow
Bentley Parish Council
  • Welcome
    Accessibility Statement
  • Our Village
    Bentley's History Clubs and Organisations Footpaths and Bridleways Quiet Lanes Views around Bentley Speed Indicator Devices
  • Conservation Area
  • Parish Council
    Parish Representatives Meetings & Minutes Policies and Procedures Accounts and Financial Documents Archived Minutes
  • Planning
    Neighbourhood Plan
  • Latest News
  • Bentley Bugle
  • Village Hall

Accounts and Financial Documents

Parish Council » Accounts and Financial Documents

AGAR 2035 26 April 2026 (pdf)
Notice of Public Rights Publication of Unaudited AGAR 2026 (jpg)
Receipts and Payments 2025 26 wehsite (pdf)
20 Bank reconciliation proforma 2025 26 2 29 4 26 (pdf)
21 Explanation of Variances 2025 26 2 29 April 2026 (pdf)
BPC Receipts Payments 9 months 9 April 2026 (jpg)
BPC Receipts Payments 6 months 9 April 2026 altered (jpg)
Parish Annual CIL Report 2025 2026 (pdf)
Internal Control Report February 2026 (pdf)
Notice of Conclusion of Audit 2025 12 September 2025 (jpg)
AGAR Section 1 Audit 12 September 2025 (jpeg)
AGAR Section 2 Audit 12 September 2025 (jpg)
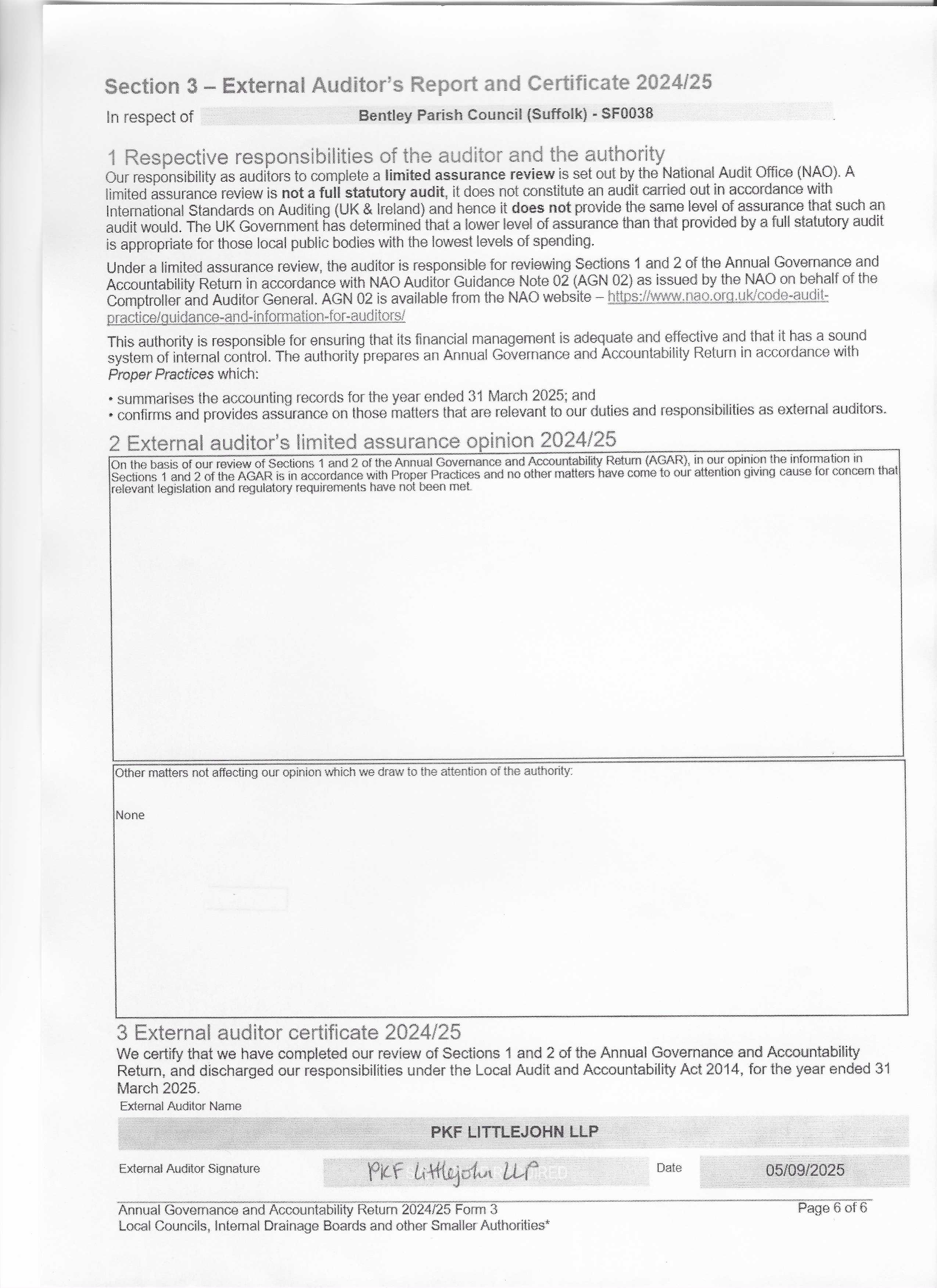
AGAR Section 3 Audit 12 September 2025 (jpg)
Accouns 3 Months 2025 26 12 September 2025 (jpg)
Exercise of public rights 5 June 2025 (docx)
AGAR 2024 25 8 June 2025 (docx)
20 Bank reconciliation proforma 10 12 May 2025 1 (xlsx)
Bentley Parish Council Internal Audit Report 2024 2025 (pdf)
Contact Details AGAR 2024 25 15 May 2025 (docx)
21 Explanation of Variances 2024 25 1 12 May 2025 (xls)
20 Bank reconciliation proforma 10 12 May 2025 (xlsx)
End of Year Accounts 2024 25 16 May 2025 (xlsx)
Neighbourhood CIL Expenditure Report 15 April 2025 (pdf)
Accounts 6 Months 2024 2025 11 October 2024 (xls)
Internal Control Report March 2025 (pdf)
Accounts 9 Months December 2024 16 March 2025 (pdf)
Quarterly Accounts 2024 6 10 2024 (jpg)
Notice of Conclusion of Audit 9 September 2024 (jpg)
SF0038 AGAR 9 September 2024 (pdf)
SF0038 S3 9 September 2024 (pdf)
Notice of Public Rights Year end March 2024 14 June 2024 (jpg)
AGAR 2023 24 bank rec and variances 13 June 2024 (pdf)
Amended Receipts Payments 9 Months 14 June 2024 (pdf)
REceipts Payments 12 Months 2023 24 14 June 2024 (pdf)
Internal Control Report February 2024 23 May 2024 (docx)
Receipts Payments 9 months 2023 24 23 May 2024 (docx)
Receipts Payments 6 months 2023 24 23 May 2024 (docx)
Receipts Payments 3 months 2023 24 23 May 2024 (docx)
Notice of Public Rights 2022 23 22 June 2023 (jpg)
Neighbourhood CIL Expenditure Report 2023 24 20 May 2024 (pdf)
Spreadsheet CIL Receipts Spending 4 April 2024 (xlsx)
SF0038 closureletter (pdf)
Notice of Conclusion of Audit 27 September 2023 (jpg)
SF0038 AGAR (pdf)
SF0038 S3 (pdf)
Neighbourhood CIL Expenditure Report 30 June 2023 (docx)
AGAR 2022 23 22 June 2023 (docx)
Bank reconciliation End of Year Accounts 26 April 2023 (xlsx)
Notice of Public Rights 2022 23 22 June 2023 (docx)
Explanation of Variances High Reserves 2022 23 21 June 2023 (xls)
Contact Details AGAR 2022 23 21 June 2023 (docx)
Bentley Parish Council Internal Audit Report 2022 2023 (docx)
Bentley Parish Council AGAR 22 June 2023 2 (zip)
Internal Control Report March 2023 (jpg)
Internal Control Report Page 2 March 2023 (jpg)
Internal Control Report Page 3 March 2023 (jpg)
Accounts 12 Months 2022 23 21 Februry 2023 (xls)
Accounts 9 Months 2022 19 January 2023 (xls)
Accounts 6 Months 2022 (xls)
AGAR 2022 23 Page 1 1 May 2023 (jpg)
AGAR 2022 23 Page 2 1 May 2023 (jpg)
AGAR 2022 23 Page 3 1 May 2023 (jpg)
AGAR 2022 23 Page 4 1 MaY 2023 (jpg)
AGAR 2022 23 Page 5 1 May 2023 (jpg)
AGAR 2022 23 Paqe 6 1 May 2023 (jpg)
Bank Accounts 12 Months2 (xls)
Bank Rec Explanation Bentley Accounts April 2023 (doc)
BENTLEY PARISH COUNCIL Supporting Statement April 2023 (doc)
Cash Book 12 months2 (xls)
Explanation of Variances 2022 23 26 April 2023 Copy (xls)
Bentley Parish Council Internal Audit Document Form 2022 2023 (doc)
Annual CIL Report 6 April 2023 (pdf)
Notice of Conclusion of Audit 2021 22 18 September2022 (jpg)
AGAR Pages 4 5 External Audit 17 September 2022 (pdf)
AGAR Page 6 External Audit 17 September 2022 (pdf)
Receipts Payments 3 months June 2022 15 September 2022 (jpg)
Cash Book 3 months (xls)
Receipts Payments Page 2 3 Months June 2022 (jpg)
Bank Accounts 3 months (xls)
AGAR 2021 22 Page 1 27 June 2022 (jpg)
AGAR 2021 22 Page 2 27June 2022 (jpg)
AGAR 2021 22 Page 3 27 June 2022 (jpg)
AGAR 2021 22 Page 4 27 June 2022 (jpg)
AGAR 2021 22 Page 5 27 June 2022 (jpg)
AGAR 2021 22 Page 6 27 June 2022 (jpg)
AGAR 2021 22 Explanation of Variances 27 June 2022 (jpg)
AGAR 2021 22 Bank Reconciliation 27 June 2022 (jpg)
AGAR 2021 22 Contact Details 27 June 2022 (jpg)
AGAR 2021 22 Notice of Public Rights 27 June 2022 (jpg)
Receipts Payments 12 Months Page 2 June 2022 (jpg)
Receipts Payments 12 months 2021 22 June 2022 (jpg)
Bentley Parish Council SALC Internal Audit Report 2021 2022 (pdf)
Cash Book 12 months (xls)
Bank Rec Explanation Bentley Accounts April 2022 (doc)
BENTLEY PARISH COUNCIL Supporting Statement April 2022 (doc)
Bank Accounts 12 Months (xls)
Internal Control Report March 2022 (jpg)
Internal Control Report Page 2 March 2022 (jpg)
Internal Control Report Page 3 March 2022 (jpg)
Budget figures 2020 21 December 2019 1 (pdf)
SALC Internal Audit Report 2021 10 May 2021 (pdf)
Neighbourhood CIL Expenditure Report Page 1 14 April 2022 (jpg)
Receipts Payments 9 months 2021 22 16 February 2022 (jpg)
Receipts Payments 9 months Page 2 16 February 2022 (jpg)
Cash Book 9 months (xls)
Bank Accounts 9 months (xls)
Budget figures 2022 23 December 2021 (xls)
Accounts April September 2021 14 December 2021 (jpg)
Accounts April September 2021 Page 2 14 December 2021 (jpg)
Quarterly Accounts April June 2021 19 October 2021 (jpg)
Quarterly Accounts April June Page 2 19 October 2021 (jpg)
Notice of Public Rights 13 June 2021 (jpg)
Accounts AGAR 2020 21 Page 1 19 April 2021 (jpg)
Accounts AGAR 2020 21 Page 2 11 June 2021 (jpg)
Accounts AGAR 2020 21 Page 3 11 June 2021 (jpg)
Accounts AGAR Page 4 July 2021 (jpg)
Accounts AGAR 2020 21 Page 5 11 June 2021 (jpg)
Accounts AGAR Page 6 July 2021 (jpg)
Supporting Statement 2020 21 Page 1 11 June 2021 (jpg)
Supporting Statement 2020 21 Page 2 11 June 2021 (jpg)
Receipts Payments 12 Months 2020 21 11 June 2021 (jpg)
Bank Rec Explanation Bentley Accounts April 2021 (doc)
Bentley AGAR 2021 signed (pdf)
Bentley Internal Audit Report 2021 (pdf)
Internal Control Statement Page 1 12 May 2021 (jpg)
Internal Control Statement Page 2 12 May 2021 (jpg)
Neighbourhood CIL Expenditure Report Page 2 12 May 2021 (jpg)
Neighbourhood CIL Expenditure Report 2021 22 12 May 2021 (jpg)
BENTLEY PARISH COUNCIL Supporting Statement April 2020 (pdf)
Cash Book Signed 6 Months 2020 30 April 2021 (jpg)
Cash Book Signed 9 Months 2020 30 April 2021 (jpg)
Cash Book Signed 3 Months 2020 30 April 2021 (jpg)
Accounts 9 months 2020 21 15 March 2021 (jpg)
Accounts Receipts Payments 6 Months 2020 21 14 December 2020 (jpg)
Accounts Receipts Payments 6 Months 2020 21 Page 2 14 December 2020 (jpg)
Notice of Conclusion of Audit 20 November 2020 (jpg)
Accounts AGAR Page 6 Signed 20 November 2020 (jpg)
Supporting Statement Page 1 Signed July 2020 (jpg)
Supporting Statement Page 2 Signed July 2020 (jpg)
Signed Minutes June 2020 Page 1 (jpg)
Signed Minutes June 2020 Page 2 (jpg)
Signed Minutes June 2020 Page 3 (jpg)
Signed Minutes June 2020 Page 4 (jpg)
Receipts Payments Accounts 12 Months July 2020 (jpg)
Accounts Bank Reconcilation 2019 20 Littlejohn (xlsx)
Accounts Explanation of Variances 2019 20 Littlejohn (xls)
Accounts AGAR Page 1 July 2020 (jpg)
Accounts AGAR Page 2 July 2020 (jpg)
Accounts AGAR Page 3 July 2020 (jpg)
Accounts AGAR Page 4 July 2020 (jpg)
Accounts AGAR Page 5 July 2020 (jpg)
Accounts AGAR Page 5 amended Initialled 22 October 2020 (jpg)
Accounts AGAR Page 6 July 2020 (jpg)
Bank Rec Explanation Bentley Accounts April 2020 (doc)
Exercise of Public Rights Notice July 2020 (docx)
CIL Expenditure Report 4 June 2020 (jpg)
CIL Expenditure Report Page 2 10 June 2020 (jpg)
Bank Rec Explanation Bentley Accounts April 2019 (doc)
Accounts 6 months 2019 (xls)
Accounts 9 months 2019 (xls)
Draft Budget Precept 2019 20 (xls)
BENTLEY PARISH COUNCIL Supporting Statement April 2020 (doc)
SALC internal Audit Report 2019 Page 1 (jpg)
SALC Internal Audit Report 2019 Page 2 (jpg)
SALC Internal Audit Report 2019 Page 3 (jpg)
SALC Internal Audit Report 2019 Page 4 (jpg)
SALC Internal Audit Report 2019 Page 5 (jpg)
SALC Internal Audit Report 2019 Page 6 (jpg)
SALC Internal Audit Report 2019 Page 7 (jpg)
SALC Internal Audit Report 2019 Page 8 (jpg)
SALC Internal Audit Report 2019 Page 9 (jpg)
SALC Internal Audit Report 2019 Page 10 (jpg)
Budget figures 2020 21 December 2019 (xls)

Copyright © 2026, Bentley Parish Council

Accessibility Statement

This site uses cookies to store information on your computer.

Do you want to allow cookies on this site?

Allow all cookies on this site

Alternatively, you may customise your cookie preferences bellow.
Some parts of this site may be disabled if cookies are blocked.

Allow only local cookies on this site
Block all cookies on this site

'Local cookies' are cookies generated by our site to enable some functionality. Other cookies are those used by external sources such as Google, Facebook or Youtube to enable their features on our website.

More information about cookies